找点题做做。。
剑指 Offer II 052. 展平二叉搜索树
难度 简单
给你一棵二叉搜索树,请 按中序遍历 将其重新排列为一棵递增顺序搜索树,使树中最左边的节点成为树的根节点,并且每个节点没有左子节点,只有一个右子节点。
示例 1:

输入:root = [5,3,6,2,4,null,8,1,null,null,null,7,9]
输出:[1,null,2,null,3,null,4,null,5,null,6,null,7,null,8,null,9]
示例 2:

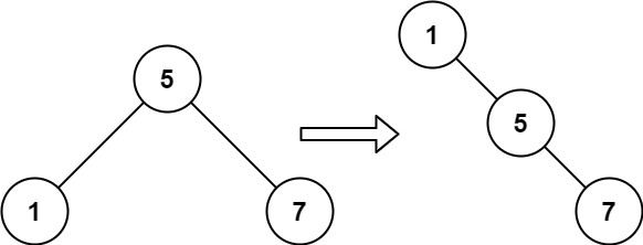
输入:root = [5,1,7]
输出:[1,null,5,null,7]
题解
输出看起来很规矩,直接排个序堆起来就好了嘛。。
不行我要练习二叉树,最终用书上的知识点:
二叉搜索树的中序遍历可以得到一个键值的升序队列。
那就中序遍历一下把元素排好序,再把元素往右子树上挂就好了。
/**
* Definition for a binary tree node.
* class TreeNode {
* val: number
* left: TreeNode | null
* right: TreeNode | null
* constructor(val?: number, left?: TreeNode | null, right?: TreeNode | null) {
* this.val = (val===undefined ? 0 : val)
* this.left = (left===undefined ? null : left)
* this.right = (right===undefined ? null : right)
* }
* }
*/
// 中序遍历
function midOrder(
res: Array<TreeNode>,
root: TreeNode | null
): TreeNode | null {
if (!root) return null;
midOrder(res, root.left);
res.push(root);
midOrder(res, root.right);
}
function increasingBST(root: TreeNode | null): TreeNode | null {
const midO: Array<TreeNode> = [];
midOrder(midO, root);
const tree = new TreeNode();
let t = tree;
// 将元素挂到右子树上
while (midO.length) {
t.right = new TreeNode(midO.shift().val);
t = t.right;
}
return tree.right;
}
总结
学了二叉搜索树之后感觉跟二分查找有点不相上下的意思,他们之间的区别如下,
从查找过程看,二叉排序树与二分查找相似。
就平均时间性能。二叉排序树上的查找和二分查找差不多。但二分查找判定树唯一,而二叉排序树的查找不唯一,相同的关键字其插入顺序不同可能生成不同的二叉排序树。
维护表的有序性。二叉排序树无须移动结点,只需修改指针即可完成插入和删除操作,二分查找的对象是有序顺序表插入和删除节点的操作所花代价。
静态查找表时,选择二分查找。动态查找表时,选择二叉排序树。
————————————————
版权声明:本文为CSDN博主「一北_」的原创文章,遵循CC 4.0 BY-SA版权协议,转载请附上原文出处链接及本声明。
原文链接:https://blog.csdn.net/black_procedure/article/details/109133449
题目地址: