做完题之后晕乎乎的,赶紧记下来!
题目
105. 从前序与中序遍历序列构造二叉树
难度中等
给定一棵树的前序遍历 preorder 与中序遍历 inorder。请构造二叉树并返回其根节点。
示例 1:

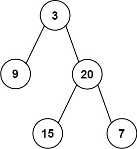
Input: preorder = [3,9,20,15,7], inorder = [9,3,15,20,7]
Output: [3,9,20,null,null,15,7]
示例 2:
Input: preorder = [-1], inorder = [-1]
Output: [-1]
题解
如何确定一课二叉树呢?
由先序序列的第一个节点可以确定这棵树的根节点。而在中序序列中,该节点将中序序列分为两个子序列,其中一个子序列是根节点的左子树的中序序列,另一个是根节点的右子树的中序序列。根据这两个子序列就可以在先序序列中,划分出根节点的左子树节点的先序节点和右子树节点的先序序列,从这两个先序序列就可以确定左子树的根和右子树的根,用同样的方法可以确定左子树和右子树的其他所有节点。
例如画
先序遍历:3,9,20,15,7 ;后序遍历:9,3,15,20,7

代码实现:
function createTree(
preorder: number[],
inorder: number[],
preStart: number,
preEnd: number,
inorStart: number,
inorEnd: number
): TreeNode | null {
// Stopping condition
if (preStart > preEnd || inorEnd < 0) {
return null;
}
// preorder 's first is root node.
const node = new TreeNode();
node.val = preorder[preStart];
// split the tree into left and right subtrees.
// find root node position.
// go to inorder and find [preorder 's first] element.
let inorderRoot = inorStart;
while (inorderRoot <= inorEnd && preorder[preStart] !== inorder[inorderRoot]) inorderRoot++;
const rootPos = inorderRoot - inorStart;
// left subtree's preorder = [ preStart, preStart + rootPostion ]
// left subtree's inorder = [ inorderStart, inorderRoot - 1 ]
node.left = createTree(
preorder,
inorder,
preStart + 1,
preStart + rootPos,
inorStart,
inorderRoot - 1
);
// right subtree's preorder = [ preStart + rootPostion + 1, preEnd ]
// right subtree's inorder = [ inorderRoot + 1, inorEnd ]
node.right = createTree(
preorder,
inorder,
preStart + rootPos + 1,
preEnd,
inorderRoot + 1,
inorEnd
);
return node;
}
左右子树的分割位置有一种对称美,不知大家能不能欣赏的出来!